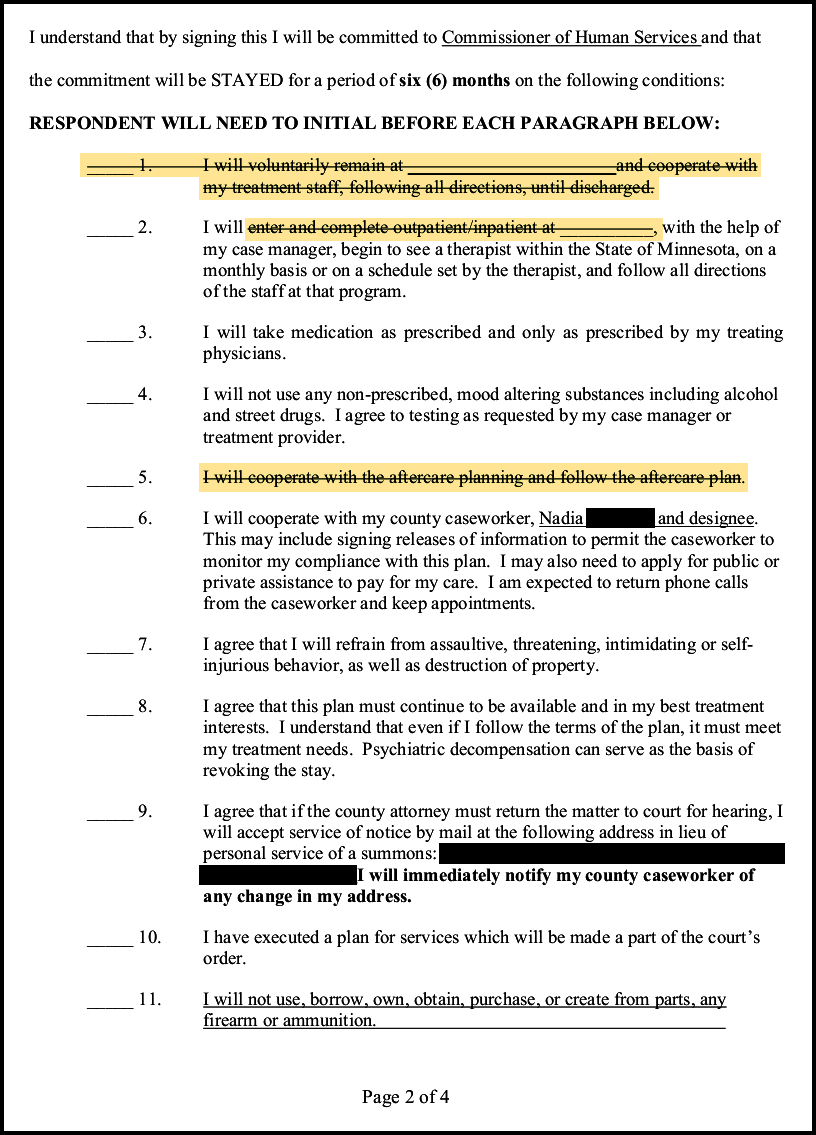
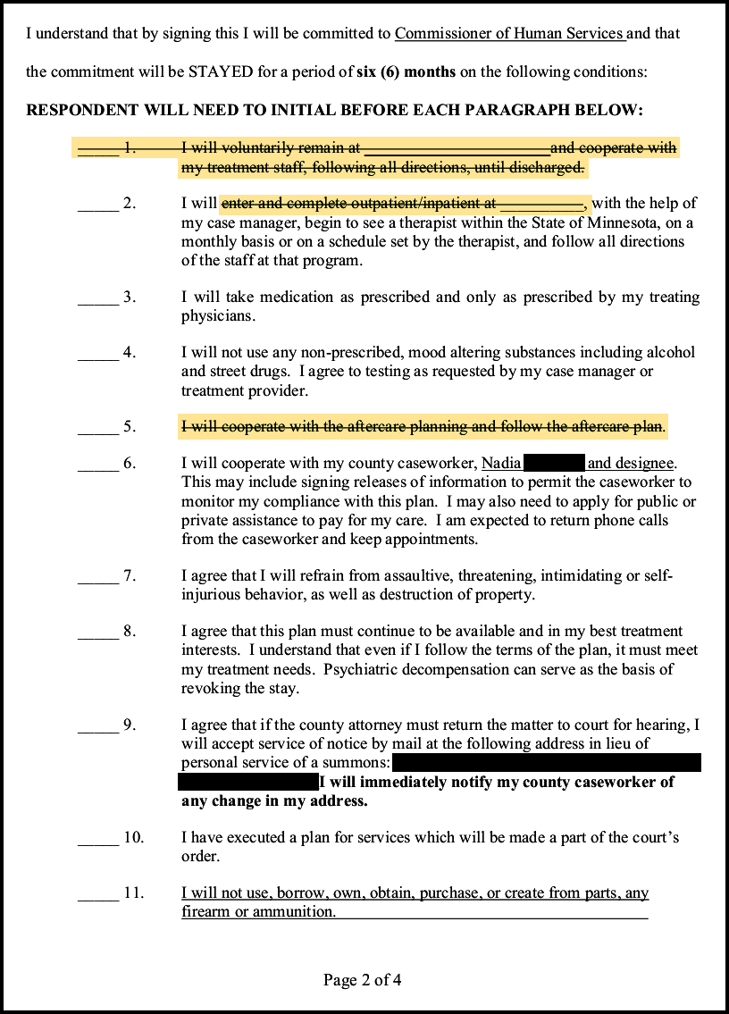
8/4/23 | DODGE A BULLET - Not CommittedI barely escape being thrown into a mental institution and being forced to take powerful anti-psychotics...Matt GuertinDec 24, 20231ShareSubscribeShare